Indicador que resume en un sólo número la distribución por edades de una población. Se consigue sumando todas las edades de las personas que componen esa población, y dividiendo esa suma por el número de dichas personas.
- No confundir con el promedio de los años vividos, o esperanza de vida. En su cálculo no se suman las edades de una población, sino las duraciones de las vidas o, lo que es lo mismo, las edades a las que han ido muriendo todas las personas que componen una generación de nacimientos. Si te interesa tienes aquí un apartado sobre la tabla de vida, o tabla de mortalidad, con la que se calcula la esperanza de vida. La edad media sirve para estudiar la estructura por edades en cierto momento, mientras que la esperanza de vida sirve para estudiar la mortalidad a lo largo de la vida.
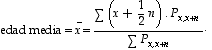
Cuando la población está distribuida por edades cumplidas o por grupos de más de un año se atribuye a cada persona la edad central del intervalo de edades (P.Ej: a todos los que ya han cumplido 3 años se les atribuyen 3’5, y a todos los que tienen 50-54 años se les atribuyen 52´5). Ello supone una aproximación aceptable casi siempre, aunque implica un error por exceso en los grupos muy ancianos. Obliga además a algún tipo de hipótesis cuando la población de las últimas edades se cuenta en un grupo «abierto», como «80 y más».
Donde «x» es la edad inicial de cada intervalo de edad; «n» la amplitud del intervalo (en 50-54 la amplitud es 5); y «P» es la población de cada intervalo.
- Tienes un ejemplo entre los ejercicios resueltos de ApdD, (busca el Ejercicio 6).
El aumento sostenido de la edad media de una población es lo que se conoce, en otras palabras, como envejecimiento demográfico. En ApdD tienes toda una sección dedicada a este tema.
Música en ApdD: Bruno Mars & Anderson .Paak as Silk Sonic – Fly As Me (LIVE BET Soul Train Awards 2021)
He leido un artículo donde un señor calculaba la esperanza de vida, sumando las edades de las personas y dividiendo por su número. Ejemplo, dos personas nacen el mismo día, una muere ese día y la otra vive 60.Según este señor 0 más 60 dividido por dos sería 30. Es decir la esperanza de vida sería 30. Entiendo que lo que ha calculado es la edad media.
Me gustaMe gusta
Hola Isidoro. Tienes razón, sumar las edades y dividir por las personas nos da la edad media, no la esperanza de vida. Pero el ejemplo que pones no hace eso. En tu ejemplo hablas de la duración de la vida de dos personas, no de su edad. Y en ese caso el promedio sí que es la esperanza de vida. En ApdD tienes toda una sección dedicada a la tabla de vida (o tabla de mortalidad), que es con la que se calcula la esperanza de vida: https://apuntesdedemografia.com/curso-de-demografia/temario/tema-4-analisis-de-la-mortalidad/ Muchos saludos y gracias por escribir.
Me gustaMe gusta
Tengo una pregunta, un rango de edades, es decir, A. Menor de 18 B. De 18 a 25 C. Mayor de 25, es una variante cuantitativa o es cualitativa ordinal?
Me gustaMe gusta
Hola Raki, tu pregunta es muy pertinente. La edad es una variable (no «variante») cuantitativa, aunque los intervalos de edad se agrupen de la manera que indicas o de cualquier otra. Lo que la variable contiene son «cantidades» de tiempo. Por cierto, cuidado con el uso del término «rango», que muchos docentes utilizan para referirse a los «intervalos». En estadística el «rango» es la totalidad de los valores de la variable, desde el primero hasta el último. Gracias por escribir y un cordial saludo.
Me gustaMe gusta
Pepueden en viar imágenes de la edad media de la india del calculo con numeros
Me gustaMe gusta
Hola Sandra, gracias por escribir. Te ocurre como a mucha otra gente; sin haberte informado sobre este sitio crees que somos un grupo, pero esta es una web personal, puedes hablar en singular.
Me gustaMe gusta
Sobre tu pregunta, tienes que aprender a expresarte o, quizá ya sepas y sólo te falte esforzarte un poco en conseguirlo, porque lo que escribes es incomprensible. Como norma general, conviene leer lo que uno escribe antes de enviarlo, pensando si uno mismo seria capaz de entender qué dice el texto si fuese el que lo recibe. Ayuda usar bien las palabras, construir bien las frases, no caer en errores ortográficos o gramaticales, todas esas cosas que uno aprende en clase de lenguaje y que no son sólo una asignatura, sino una herramienta para saber comunicarse con los temas. Un saludo muy cordial y ánimo con los apuntes.
Me gustaMe gusta